Como calcular a adubação orgânica? E a relação C/N?
Aprenda a calcular a quantidade de nutriente adicionado com o adubo orgânico.
Índice do conteúdo - clique para navegar
Cálculo de adubação com estercos sólidos
Cálculo de adubação com estercos líquidos
Proporção entre nutrientes no adubo orgãnico
Encontrando a relação C/N
Associação entre adubação orgânica e adubação mineral
Leitura recomendada
Cálculo de adubação com estercos sólidos
Para calcularmos a quantidade de cada nutriente (N, P2O5 e K2O) a ser adicionada em uma quantidade de adubo orgânico, observamos os materiais listados nas tabelas de composição de adubos orgânicos (com exceção dos estercos líquidos, sendo utilizada outra fórmula para este adubo, apresentada adiante), e calculamos o nitrogênio, fósforo e potássio em kg/ha que serão adicionados da seguinte forma:

Sendo:
A = quantidade do adubo a ser aplicado (kg/ha);
QD = quantidade disponível do nutriente;
B = porcentagem de matéria seca do material;
C = porcentagem do nutriente na matéria seca;
D = índice de eficiência de cada nutriente (o valor pode ser consultado na página de estercos), aplicável conforme o cultivo (1º e 2º).
Você também pode verificar a concentração de nutrientes visitando a seção Concentração de nutrientes em adubos orgânicos de origem animal, vegetal e industrial.
Ao final da página, temos um exemplo deste cálculo.
Cálculo de adubação com estercos líquidos
Já para o cálculo de estercos líquidos, a dose necessária de adubo orgânico para fornecer as quantidades disponíveis de nutriente (N, P2O5 e K2O) é calculada pela equação:

Sendo:
A = quantidade do material aplicado (m³/ha);
QD = quantidade disponível;
C = concentração do nutriente no adubo orgânico (kg/m³);
D = índice de eficiência de cada nutriente (o valor pode ser consultado na página de estercos) aplicável conforme o cultivo.
Proporção entre nutrientes no adubo orgânico
Em uma propriedade existem inúmeros resíduos orgânicos que podem ser utilizados na preparação do composto orgânico. Estes materiais podem ser misturados procurando obter uma relação C/N (carbono / nitrogênio) próxima de 30:1, assim, devendo-se misturar um resíduo rico em carbono com um resíduo rico em nitrogênio. Os resíduos ricos em carbono aumentam muito a relação C/N, e a formação do composto é mais demorada, já o resíduo rico em nitrogênio diminui a relação C/N e há perdas do nitrogênio não aproveitado pelos microrganismos.
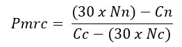
Para usarmos um composto orgânico, este deve ter uma relação C/N entre 26:1 e 35:1, logo, devemos analisar a composição de cada resíduo orgânico. Para calcular a proporção entre nutrientes, temos a seguinte fórmula:

Sendo:
PMRC = partes de material rico em carbono
Nn = teor de N do material rico em nitrogênio
Cn = teor de carbono do material rico em N
Cc = teor de carbono do material rico em C
Nc = teor de N do material rico em C
Por exemplo: você vai preparar um composto com torta de usina de cana (rico em nitrogênio) e capim jaraguá (rico em carbono). Observe a tabela abaixo:
| Resíduos orgânicos | MO | C org | N | C/N |
|---|---|---|---|---|
| % | ||||
| Materiais ricos em nitrogênio (N) | ||||
| Esterco (bovinos) | 62,0 | 36 | 1,92 | 19 |
| Esterco (suínos) | 34,4 | 20 | 1,5 | 13 |
| Esterco (aves) | 51,6 | 30 | 3,2 | 9 |
| Torta de usina de cana | 75,3 | 43,8 | 2,19 | 20 |
| Materiais ricos em carbono (C) | ||||
| Bagaço de cana | 72,0 | 41,5 | 1,07 | 38 |
| Café - palha | 90,0 | 51,7 | 0,62 | 83 |
| Capim jaraguá | 86,9 | 50,6 | 0,79 | 64 |
| Trigo - palha | 87,9 | 51,5 | 0,73 | 70 |
Aplicando na fórmula, teremos:


Assim, para cada parte de resíduo rico em nitrogênio (torta usina de cana), deveremos misturar 0,82 partes de material rico em carbono (capim jaraguá), totalizando 1,82 partes.
Facilitando a visualização deste valor, transformaremos-o em porcentagem utilizando regra de 3:

Assim, temos 45% de capim jaraguá, sendo o restante preenchido pela torta de usina de cana.
Como os estercos e resíduos vegetais possuem menos de 1% de fósforo natural (P), acrescenta-se 3% em fosfato natural reativo. Este percentual é diminuído do material rico em carbono, logo, 45% - 3% = 42%.
Deve-se escolher um fosfato de origem sedimentar e alta reatividade no solo.
Logo, temos:
42% de capim jaraguá
55% de torta de usina de cana
3% de fosfato natural reativo.
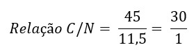
Encontrando a relação C/N
Para encontrar a relação C/N, faremos uma média ponderada dos nutrientes C e N em cada material:
Para calcular o C, usa-se a soma do teor de C orgânico de cada fonte multiplicado pelo respectivo índice (%) relativo a sua participação na mistura.

Para calcular o N, usa-se a soma do teor de N de cada fonte multiplicado pelo respectivo índice (%) relativo a sua participação na mistura.

Para encontrarmos a relação C/N, dividimos o C pelo N

Assim, encontramos a relação C/N de 30/1, estando a mistura dentro do intervalo considerado adequado.
Associação entre adubação orgânica e adubação mineral
Como explicado nas outras seções, o adubo orgânico muitas vezes atua mais como condicionador de solo do que como fertilizante, de modo que geralmente devemos usar fertilizantes minerais para complementar a adubação orgânica e satisfazer as demandas da cultura. Assim, o uso conjunto de adubo orgânico e mineral otimiza o equilíbrio e aproveitamento dos nutrientes, e atua também de maneira positiva no solo.
O uso das formas orgânica e mineral deve ser planejado, contribuindo com os nutrientes e melhorando o solo, porém, sem aplicar mais nutrientes do que a cultura necessita, evitando poluição ambiental ou toxicidade nas plantas. Deste modo, devemos considerar as necessidades das plantas e as características dos adubos orgânicos, e aplicar a dose deste último para fornecer o nutriente que é demandado em menor quantidade, de modo a não aplicar em excesso os demais, e complementando o resto com adubação mineral. Observe o exemplo de cálculo abaixo:
Cultivo: milho e trigo
Adubo: cama de frango (5-6 lotes) complementado com adubo mineral
Necessidade de adubação:
| Cultura | Recomendação (kg/ha) | ||
|---|---|---|---|
| N | P2O5 | K2O | |
| Milho (1º cultivo) | 100 | 210 | 100 |
| Trigo (2º cultivo) | 60 | 95 | 30 |
Para calcular a quantidade de adubação orgânica, usaremos a seguinte fórmula:

Sendo:
A = quantidade do adubo a ser aplicado (kg/ha);
QD = quantidade disponível do nutriente;
B = porcentagem de matéria seca do material;
C = porcentagem do nutriente na matéria seca;
D = índice de eficiência de cada nutriente (indicado nesta tabela), aplicável conforme o cultivo (1º e 2º).
Para este cálculo, você pode verificar os valores de "B", "C" e "D" visitando a seção Concentração de nutrientes em adubos orgânicos de origem animal, vegetal e industrial.
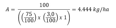
Quantidade de cama de frango para o milho (1º cultivo):
Demanda de N:

Demanda de P:

Demanda de K:

Para o trigo (segundo cultivo), a cama de frango aplicada no primeiro cultivo ainda fornecerá, através do efeito residual, 23 kg/ha de N e 25 kg/ha de P2O5. Assim segundo, a adubação orgânica para suprir as necessidades do segundo cultivo deve descontar o efeito residual do primeiro cultivo.
Demanda de nitrogênio:

Demanda de fósforo:

Demanda de potássio:

Observe que, neste caso, em ambos os cultivos, a recomendação de potássio demandou a menor quantidade de cama de aviário para suprir o nutriente. Logo, para o milho (primeiro cultivo) este nutriente determinará a dosagem, que será de 4,44 toneladas por hectare, fornecendo:
- 58 kg/ha de N
- 100 kg/ha de P2O5
- 100 kg/ha de K2O
O restante das necessidades (42 kg/ha de N e 110 kg/ha de P2O5) serão supridos através de fertilizantes minerais.
Já no trigo (segundo cultivo), a dose de cama de frango aplicada será de 1,33 t/ha, fornecendo:
- 17 kg/ha de N
- 30 kg/ha de P2O5
- 30 kg/ha de K2O
O restante das necessidades (20 kg/ha de N e 40 kg/ha de P2O5) serão supridos através de fertilizantes minerais.
É importante observar que, a aplicação de adubação orgânica no segundo cultivo também terá um efeito residual, deixando 7 kg/ha de N e 8 kg/ha de P2O5, que deverão ser subtraídos da quantidade de nutrientes a serem aplicados na próxima cultura.
Continue a leitura
Adubação orgânica - Introdução e vantagens
Adubação orgânica - Fontes, composição e eficiência
Adubação orgânica - Maturidade e estabilidade
Adubação orgânica - Qualidade/valor do adubo orgânico
Adubação verde - O que você precisa saber
Estercos - Adubos orgânicos de origem animal
Compostagem - Etapas, vantagens e manejo
Anderson Wolf Machado - Engenheiro Agrônomo
Referências:
SOCIEDADE BRASILEIRA DE CIÊNCIA DO SOLO. Manual de Adubação e de Calagem Para os Estados do Rio Grande do Sul e de Santa Catarina. 10. ed. Porto Alegre: Sociedade Brasileira de Ciência do Solo, 2004.
EMBRAPA et al. MANUAL DE CALAGEM E ADUBAÇÃO DO ESTADO DO RIO DE JANEIRO. 1. ed. Brasília, DF: Editora Universidade Rural, 2013.
GOMES et al. Preparo de Composto Orgânico na Pequena Propriedade Rural. (Embrapa Semi-Árido. Instrução Técnica, 53).